|
FIGURE 1. Increase in volume of AQP‐expressing and control oocytes by time (s). Oocytes in (a) hypo‐osmotic solution; (b) iso‐osmotic solution containing 180 mM glycerol; (c) urea; and (d) boric acid. Values are shown as mean ± SEM (n = 10–24)
|
|
FIGURE 2. Water (a), glycerol (b), urea (c), and boric acid (d) transport activity of AQPs measured by oocyte swelling assays. The change in volume of oocytes expressing each AQP was compared with those of control oocytes. Values are presented as median (line), interquartile range (box), range (whiskers), and outliers (>1.5× interquartile range above upper quartile). Statistical significance was evaluated using the Kruskal–Wallis test followed by the Mann–Whitney U test; the Bonferroni correction was applied for multiple comparisons (*p < 0.05/9 = 0.0056)
|
|
FIGURE 3. Scatter plots and Pearson correlation coefficient (r) between water, glycerol, urea, and boric acid permeabilities of oocytes expressing each AQP. (a–f) The average rates of volume changes in oocytes expressing boric acid‐permeable AQPs (AQP3, 7, 8, 9, and 10) were plotted in red, and those of oocytes expressing boric acid impermeable AQPs (AQP1, 2, 4, and 5) or water‐injected oocytes were plotted in navy blue. *p < 0.05; **p < 0.001; n = 10
|
|
FIGURE 4. Effects of the amount of AQP9 cRNA injected into oocytes on water (a), glycerol (b), urea (c), and boric acid (d) permeability activities. Values for the results of the swelling assay are shown as mean ± SEM (n = 4–6)
|
|
FIGURE 5. Boric acid uptake activity of AQP oocytes measured as whole‐cell boron content using ICP‐MS. Statistical significance was evaluated using the Kruskal–Wallis test followed by the Mann–Whitney U test; the Bonferroni correction was applied for multiple comparisons (*p < 0.05/6 = 0.0083). Values are shown as mean ± SEM (n = 6)
|
|
FIGURE 6. Hypothetical schematic diagrams of Xenopus oocytes expressing membrane protein with B(OH)3 or B(OH)4
– selective uniport activity. (a) Putative changes in intracellular pH (pHi) and membrane potential (V
m) of an oocyte after the channel‐mediated selective influx of B(OH)3 are shown in red. In cytosol, the loaded B(OH)3 are partially reacted with water and converted into B(OH)4
– and H+. V
m will not change in response to the influx of B(OH)3. (b) Putative changes in pHi and V
m of an oocyte after the channel‐mediated selective influx of B(OH)4
– are shown in blue. In cytosol, the loaded B(OH)4
– are partially converted into B(OH)3 and OH–. Membrane hyperpolarization or transmembrane current may be observed in response to the anion conductance
|
|
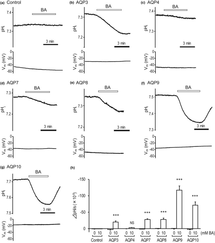
FIGURE 7. B(OH)3 channel activity of AQP3, 7, 8, 9, and 10. (a–g) Representative traces of changes in intracellular pH (pHi) and membrane potential (V
m) of a control oocyte (a) and oocytes expressing AQP3 (b), AQP4 (c), AQP7 (d), AQP8 (e), AQP9 (f), or AQP10 (g). BA, 10 mM boric acid. (h) The summary of pH changes (dpHi/s) in control and AQP oocytes immersed in solution containing 0 or 10 mM boric acid. Values are shown as mean ± SEM (n = 4–11). Statistical significance was evaluated by the Welch's t‐test (***p < 0.05)
|
|
FIGURE 8. Effect of phloretin, urea, and glycerol on boric acid permeability of oocytes expressing AQP9. (a) Effect of phloretin on increase in volume of AQP9 oocytes in hypo‐osmotic solution or iso‐osmotic solution containing 180 mM boric acid. The changes in volume of AQP9 oocytes were analyzed by the swelling assay in the presence or absence of 100 μM phloretin. Values are presented as median (line), interquartile range (box), range (whiskers), and outliers (>1.5× interquartile range above upper quartile). Statistical significance was evaluated using the Mann–Whitney U test. *p < 0.05, n = 4–5. (b) Effect of phloretin on boric acid permeability of oocytes expressing AQP9. B(OH)3 permeabilities of AQP9 oocytes were evaluated by the changes in intracellular pH (ΔpHi/s) in solution containing 10 mM boric acid with or without 100 μM phloretin. Values are shown as mean ± SEM (n = 6), and statistical significance was evaluated using the Mann–Whitney U test. *p < 0.05. (c) Effect of urea and glycerol on boric acid permeability of oocytes expressing AQP9. B(OH)3 permeabilities of AQP9 oocytes were evaluated by ΔpHi/s in solution containing 3 mM boric acid with or without 10 mM urea or glycerol. Values are shown as mean ± SEM (n = 4), and statistical significance was evaluated using the Kruskal–Wallis test followed by the Mann–Whitney U test; the Bonferroni correction was applied for multiple comparisons (NS, p > 0.05/2 = 0.025)
|
|
FIGURE 9. Comparison of the pores of boric acid‐permeable and non‐permeable AQPs by computational structural analysis. (a) Structures of the pore and the aromatic/arginine (ar/R) selectivity filter of AQP10, 8, and 2. The ar/R residues of AQP10 (PDB: 6F7H), and AQP8 (Model: AlphaFold‐Q94778), and AQP2 (PDB: 4NEF) at the positions 1, 2, 3, and 4 are represented by spheres. Each pore radius at the ar/R selectivity filter is shown in parentheses. Permeating molecules of each AQP are shown in the lower panel. (b) The ar/R residues of acid‐permeable and non‐permeable AQPs
|