Click here to close Hello! We notice that you are using Internet Explorer, which is not supported by Echinobase and may cause the site to display incorrectly. We suggest using a current version of Chrome, FireFox, or Safari.
Echinobase
ECB-ART-54933
Ecol Evol 2026 Apr 15;164:e73448. doi: 10.1002/ece3.73448.
Show Gene links Show Anatomy links

Diverging Food Web Functioning Around Southampton Island, Nunavut: The Influence of Primary Production Supply and Bathymetry.

Amiraux R, Mundy CJ, Pierrejean M, Massicotte P, Ferguson SH, Fisk AT, Harris LN, Hedges KJ, Johnson KF, Niemi A, Rosenberg B, Ogloff WR, Watt CA, Yurkowski DJ.


???displayArticle.abstract???
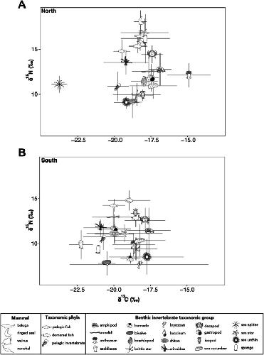
The structure and functioning of Arctic marine food webs are shaped by the origin (ice- or pelagic-derived), quantity, and quality of primary production, which are influenced by environmental factors. While pan-Arctic variability has been widely studied, spatial differences at smaller scales (~10-500 km) remain poorly understood. In this study, we examined north-south spatial variability around Southampton Island in the Hudson Bay (Nunavut) focusing on (i) vertical trophic structure, (ii) the relative contributions of ice algae and phytoplankton-derived carbon to the food web and (iii) benthic functional diversity. We measured bulk stable carbon and nitrogen isotopes as well as highly branched isoprenoids in samples belonging to 149 species, including invertebrates, fishes, and marine mammals. We found marked contrasts between the northern and southern food webs, reflecting different environmental conditions. The north was characterized by deeper depths (mean of 132.0 m), with relatively lower ice algae production relative to phytoplankton, a narrow δ13C range, low sympagic carbon (mean of 13.5% ± 10.7%), and dominance of filter feeders. As a result, the northern benthic sub-web relied mainly on phytoplankton and occupied four trophic levels, including top predator sea stars. In contrast, the south was shallower (mean 60.7 m), with higher ice algae input, a broader δ13C range, higher sympagic carbon (35.1% ± 19.7%), a benthic sub-web occupying only three trophic levels, and a dominance of deposit feeders. Here, trophic truncation among benthic species likely represents relatively stronger top-down control by walruses, a benthivorous predator that specializes on large bivalves, facilitated by a shallower bathymetry and is considered prime walrus habitat. However, this selective pressure fosters benthic functional trait richness by releasing non-target species, in conjunction with a diversified food supply from both ice algae and phytoplankton. These results demonstrate how small-scale spatial variation in depth and primary production sources can restructure Arctic food webs, with implications for ecosystem functioning under changing ice conditions.

???displayArticle.pubmedLink??? 42007268
???displayArticle.pmcLink??? PMC13083602
???displayArticle.link??? Ecol Evol




???attribute.lit??? ???displayArticles.show???